Log in
Sign up for FREE
arrow_back
Library

Illustrative Math - Algebra 1 - Unit 5 -Lesson 10

star
star
star
star
star
Last updated about 1 year ago
10 questions
1
F.IF.6
1
F.IF.6
1
F.IF.6
1
F.IF.6
1
F.IF.6
1
F.IF.6
1
F.IF.6
1
F.IF.6
1
Question 1
1.
1
Question 2
2.
Question 3
3.

A study was conducted to analyze the effects on deer population in a particular area. Let f be an exponential function that gives the population of deer  years after the study began.

If f(t)=a*b^{t} and the population is increasing, select all statements that must be true.

Question 4
4.

A study was conducted to analyze the effects on deer population in a particular area. Let f be an exponential function that gives the population of deer  years after the study began.

If f(t)=a*b^{t} and the population is increasing, select all statements that must be true.

Question 5
5.

Function models the population, in thousands, of a city years after 1930.

The average rate of change of f from t=0 to t=70 is approximately 14 thousand people per year.

Is this value a good way to describe the population change of the city over that time period? Explain or show your reasoning.

Question 6
6.

The function, f, gives the number of copies a book has sold w weeks after it was published. The equation f(w)=500*2^{w} defines this function.

Select all domains for which the average rate of change could be a good measure for the number of books sold.

Question 7
7.

The graph shows a bacteria population decreasing exponentially over time.

The equation p=100,000,000*(\frac{2}{3})^{h} gives the size of a second population of bacteria, where is the number of hours since it was measured at 100 million.


Which bacterial population decays more quickly? Explain how you know.

Question 8
8.

Give a value for r that would indicate that a line of best fit has a positive slope and models the data well.

Question 9
9.

The size of a district and the number of parks in it have a weak positive relationship.

Explain what it means to have a weak positive relationship in this context.

Question 10
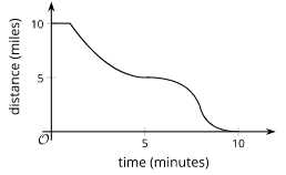
10.

Here is a graph of Han’s distance from home as he drives.

Identify the intercepts of the graph and explain what they mean in terms of Han’s distance from home.

This lesson is from Illustrative Mathematics. Algebra 1, Unit 5, Lesson 10. Internet. Available from https://curriculum.illustrativemathematics.org/HS/teachers/1/5/10/index.html ; accessed 26/July/2021.

IM Algebra 1, Geometry, Algebra 2 is © 2019 Illustrative Mathematics. Licensed under the Creative Commons Attribution 4.0 International License (CC BY 4.0).

The Illustrative Mathematics name and logo are not subject to the Creative Commons license and may not be used without the prior and express written consent of Illustrative Mathematics.

These materials include public domain images or openly licensed images that are copyrighted by their respective owners. Openly licensed images remain under the terms of their respective licenses. See the image attribution section for more information.
b>1
b<1
a>0
The average rate of change from year 0 to year 5 is less than the average rate of change from year 10 to year 15.
The average rate of change from year 0 to year 5 is greater than the average rate of change from year 10 to year 15.
0\leq w\leq2
0\leq w\leq7
5\leq w\leq7
5\leq w\leq10
0\leq w\leq10