Log in
Sign up for FREE
arrow_back
Library

Illustrative Math - Algebra 1 - Unit 2- Lesson 21

star
star
star
star
star
Last updated about 1 year ago
17 questions
1
A.REI.12
1
A.REI.12
1
A.REI.12
1
A.REI.12
1
A.REI.12
1
A.REI.12
1
A.REI.12
1
A.REI.12
1
Question 1
1.
1
1
Question 3
3.
1
Question 4
4.
Question 5
5.

1
Question 6
6.
1
Question 7
7.
1
Question 8
8.
Question 9
9.

The boundary line on the graph represents the equation 5x+2y=6. Write an inequality that is represented by the graph.

Question 10
10.

Choose the inequality whose solution set is represented by this graph.

1
Question 11
11.
1
Question 12
12.
Question 13
13.

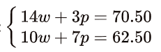
Mai and Tyler are selling items to earn money for their elementary school. The school earns w dollars for every wreath sold and p dollars for every potted plant sold. Mai sells 14 wreaths and 3 potted plants and the school earns $70.50. Tyler sells 10 wreaths and 7 potted plants and the school earns $62.50.

This situation is represented by this system of equations:

Explain why it makes sense in this situation that the solution of this system is also a solution to 4w+(-4p)=8.00.

Question 14
14.

Elena is planning to go camping for the weekend and has already spent $40 on supplies. She goes to the store and buys more supplies.

Which inequality represents d, the total amount in dollars that Elena spends on supplies?

Question 15
15.

Solve this inequality: \frac{x-4}{3}\geq \frac{x+3}{2}

Question 16
16.

Which graph represents the solution to \frac{4x-8}{3}\leq2x-5?

Question 17
17.

Solve -x < 3 . Explain how to find the solution set.

This lesson is from Illustrative Mathematics. Algebra 1, Unit 2, Lesson 21. Internet. Available from https://curriculum.illustrativemathematics.org/HS/teachers/1/2/21/index.html ; accessed 26/July/2021.

IM Algebra 1, Geometry, Algebra 2 is © 2019 Illustrative Mathematics. Licensed under the Creative Commons Attribution 4.0 International License (CC BY 4.0).

The Illustrative Mathematics name and logo a. Algebra 1, Unit 2, Lesson 2. Internet. Available from t be used without the prior and express written consent of Illustrative Mathematics.

These materials include public domain images or openly licensed images that are copyrighted by their respective owners. Openly licensed images remain under the terms of their respective licenses. See the image attribution section for more information.
Question 2
2.
Select all coordinate pairs that are solutions to the inequality 5x+9y<45.
(0,0)
(5,0)
(9,0)
(0,5)
(0,9)
(5,9)
(-5,-9)