Log in
Sign up for FREE
arrow_back
Library

Illustrative Math - Algebra 1 - Unit 2- Lesson 16

star
star
star
star
star
Last updated about 1 year ago
14 questions
1
A.REI.1
A.REI.5
A.REI.6
1
A.REI.1
A.REI.5
A.REI.6
1
A.REI.1
A.REI.5
A.REI.6
1
A.REI.1
A.REI.5
A.REI.6
1
A.REI.1
A.REI.5
A.REI.6
1
A.REI.1
A.REI.5
A.REI.6
1
A.REI.1
A.REI.5
A.REI.6
1
A.REI.1
A.REI.5
A.REI.6
1
A.REI.1
A.REI.5
A.REI.6
1
A.REI.1
A.REI.5
A.REI.6
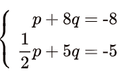
Question 1
1.

Solve each system of equations.

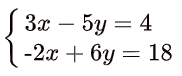
Question 2
2.

Solve each system of equations.

Question 3
3.

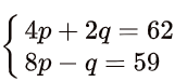
Tyler is solving this system of equations:
He can think of two ways to eliminate a variable and solve the system:
  • Multiply 4p+2q=62 by 2, then subtract 8p-q=59 from the result.
  • Multiply 8p-q=59 by 2, then add the result to 4p+2q=62.
Do both strategies work for solving the system?

Question 4
4.

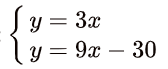
Andre and Elena are solving this system of equations:
Andre's first step is to write: 3x=9x-30
Elena’s first step is to create a new system:
Do you agree with either first step?

Question 5
5.

Question 6
6.

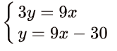
Here is a system of equations with a solution:
Write a system of equations that is equivalent to this system. Describe what you did to the original system to get the new system.

Question 7
7.

Here is a system of equations with a solution:
Explain how you know the new system has the same solution as the original system.

1
Question 8
8.
1
Question 9
9.
1
Question 10
10.
1
Question 11
11.
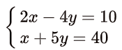
Question 12
12.

Here is a system of linear equations:
Find at least one way to solve the system by substitution and show your reasoning.

How many ways can you find?

(Regardless of the substitution that you do, the solution should be the same.)

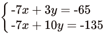
Question 13
13.

Here is a system of equations:

Write an equation that results from subtracting the two equations.

Question 14
14.

A grocery store sells bananas for b dollars a pound and grapes for g dollars a pound. Priya buys 2.2 pounds of bananas and 3.6 pounds of grapes for $9.35. Andre buys 1.6 pounds of bananas and 1.2 pounds of grapes for $3.68.

This situation is represented by the system of equations:

Explain why it makes sense in this situation that the solution of this system is also a solution to 3.8b+4.8g=13.03.

This lesson is from Illustrative Mathematics. Algebra 1, Unit 2, Lesson 16. Internet. Available from https://curriculum.illustrativemathematics.org/HS/teachers/1/2/16/index.html ; accessed 26/July/2021.

IM Algebra 1, Geometry, Algebra 2 is © 2019 Illustrative Mathematics. Licensed under the Creative Commons Attribution 4.0 International License (CC BY 4.0).

The Illustrative Mathematics name and logo are not subject to the Creative Commons license and may not be used without the prior and express written consent of Illustrative Mathematics.

These materials include public domain images or openly licensed images that are copyrighted by their respective owners. Openly licensed images remain under the terms of their respective licenses. See the image attribution section for more information.
Only the Second Strategy Works
Neither Strategies work
Only the Second Strategy Works
Neither Strategies work
Select all systems that are equivalent to this system: