Log in
Sign up for FREE
arrow_back
Library

Illustrative Math - Algebra 1 - Unit 2- Lesson 14

star
star
star
star
star
Last updated about 1 year ago
11 questions
1
A.REI.5
A.REI.6
1
A.REI.5
A.REI.6
1
A.REI.5
A.REI.6
1
A.REI.5
A.REI.6
1
A.REI.5
A.REI.6
1
A.REI.5
A.REI.6
1
A.REI.5
A.REI.6
1
A.REI.5
A.REI.6
1
A.REI.5
A.REI.6
1
A.REI.5
A.REI.6
1
A.REI.5
A.REI.6
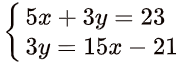
Question 1
1.

Which equation is the result of adding these two equations?

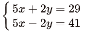
Question 2
2.

Which equation is the result of subtracting the second equation from the first?

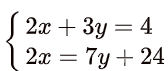
Question 3
3.

Solve this system of equations without graphing:

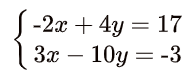
Question 4
4.

Here is a system of linear equations:
Would you rather use subtraction or addition to solve the system? Explain your reasoning.

Question 5
5.

Kiran sells f full boxes and h half-boxes of fruit to raise money for a band trip. He earns $5 for each full box and $2 for each half-box of fruit he sells and earns a total of $100 toward the cost of his band trip. The equation 5f+2h=100 describes this relationship.

Solve the equation for f.

Question 6
6.

Match each equation with the corresponding equation solved for a.

Draggable itemarrow_right_altCorresponding Item
5a=2b
arrow_right_alt
a=5-2b
arrow_right_alt
arrow_right_alt
arrow_right_alt
arrow_right_alt
Question 7
7.

The volume of a cylinder is represented by the formula V=𝜋r2h.
Find each missing height and show your reasoning.

Question 8
8.

Match each equation with the slope m and y-intercept of its graph.

Draggable itemarrow_right_altCorresponding Item
arrow_right_alt
arrow_right_alt
arrow_right_alt
arrow_right_alt
arrow_right_alt
arrow_right_alt
Question 9
9.

Solve each system of equations.

Question 10
10.

Solve each system of equations.

Question 11
11.

Elena and Kiran are playing a board game. After one round, Elena says, "You earned so many more points than I did. If you earned 5 more points, your score would be twice mine!"

Kiran says, "Oh, I don't think I did that much better. I only scored 9 points higher than you did."

Write a system of equations to represent each student's comment. Be sure to specify what your variables represent.(Show Your Work)

If both students were correct, how many points did each student score? Show your reasoning.(Short Answer)

This lesson is from Illustrative Mathematics. Algebra 1, Unit 2, Lesson 14. Internet. Available from https://curriculum.illustrativemathematics.org/HS/teachers/1/2/14/index.html ; accessed 26/July/2021.

IM Algebra 1, Geometry, Algebra 2 is © 2019 Illustrative Mathematics. Licensed under the Creative Commons Attribution 4.0 International License (CC BY 4.0).

The Illustrative Mathematics name and logo are not subject to the Creative Commons license and may not be used without the prior and express written consent of Illustrative Mathematics.

These materials include public domain images or openly licensed images that are copyrighted by their respective owners. Openly licensed images remain under the terms of their respective licenses. See the image attribution section for more information.
a+2b=5
a=\frac{2b}{5}
5a+2b=0
a=2b-5
5(a+2b)=0
a=-2b
a+5=2b
a=\frac{-2b}{5}
m= -6, y-int =(0,5)
6x+y=12
m=-\frac{5}{6}, y-int = (0,1)
y=5-6x
m=\frac{5}{6}, y-int = (0,-1)
5x+6y=6
m=\frac{5}{6}, y-int = (0,1)
y=\frac{5}{6}x+1
m=\frac{5}{6}, y-int =(0,-5)
5x-6y=6
m=-6, y-int = (0,12)
5x-6y=30