Log in
Sign up for FREE
arrow_back
Library

Illustrative Math - Algebra 1 - Unit 2- Lesson 20

star
star
star
star
star
Last updated about 1 year ago
15 questions
1
A.CED.1
A.CED.3
A.REI.3
1
A.CED.1
A.CED.3
A.REI.3
1
A.CED.1
A.CED.3
A.REI.3
1
A.CED.1
A.CED.3
A.REI.3
1
A.CED.1
A.CED.3
A.REI.3
1
A.CED.1
A.CED.3
A.REI.3
1
A.CED.1
A.CED.3
A.REI.3
Question 1
1.

Solve 2x<10. Explain how to find the solution set.

Question 2
2.

LIn is solving the inequality 15-x<14. She knows the solution to the equation 15-x=14 is x=1

How can Lin determine whether x>1 or x<1 is the solution to the inequality?

Question 3
3.

LIn is solving the inequality 15-x<14. She knows the solution to the equation 15-x=14 is x=1

How can Lin determine whether x>1 or x<1 is the solution to the inequality?

1
Question 4
4.

Write an inequality to represent the fact that it is cheaper for someone to use plan A than plan B. Use x to represent the number of texts they send.

1
Question 5
5.

Solve the inequality.

Question 6
6.

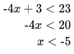
Clare made an error when solving -4x+3<23.

Describe the error that she made.

Question 7
7.

Clare made an error when solving -4x+3<23.

Describe the error that she made.

1
Question 8
8.

Write an inequality that expresses the mean number of steps that Diego needs to walk during the last 3 days of this week to walk more than 70,000 steps. Remember to define any variables that you use.

1
Question 9
9.

If the mean number of steps Diego walks during the last 3 days of the week is 12,642, will Diego reach his goal of walking more that 70,000 steps this week?

Question 10
10.

Here are statistics for the length of some frog jumps in inches:
  • the mean is 41 inches
  • the median is 39 inches
  • the standard deviation is about 9.6 inches
  • the IQR is 5.5 inches
How does each statistic change if the length of the jumps are measured in feet instead of inches?

1
Question 11
11.

Solve The System.

1
Question 12
12.

Solve The System.

1
Question 13
13.

Do you agree with Lin that her approach also works? Explain your reasoning.

1
Question 14
14.

What are the smallest whole-number factors by which you can multiply the equations in order to eliminate x?

Question 15
15.

What is the solution set of the inequality \frac{x+2}{2}\geq-7-\frac{x}{2}?

This lesson is from Illustrative Mathematics. Algebra 1, Unit 2, Lesson 200. Internet. Available from https://curriculum.illustrativemathematics.org/HS/teachers/1/2/20/index.html ; accessed 26/July/2021.

IM Algebra 1, Geometry, Algebra 2 is © 2019 Illustrative Mathematics. Licensed under the Creative Commons Attribution 4.0 International License (CC BY 4.0).

The Illustrative Mathematics name and logo a. Algebra 1, Unit 2, Lesson 2. Internet. Available from t be used without the prior and express written consent of Illustrative Mathematics.

These materials include public domain images or openly licensed images that are copyrighted by their respective owners. Openly licensed images remain under the terms of their respective licenses. See the image attribution section for more information.