Log in
Sign up for FREE
arrow_back
Library

Illustrative Math - Algebra 1 - Unit 2- Lesson 18

star
star
star
star
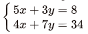
star
Last updated about 1 year ago
12 questions
1
6.EE.5
7.EE.4.a
…
1
6.EE.5
7.EE.4.a
…
1
6.EE.5
7.EE.4.a
…
1
6.EE.5
7.EE.4.a
…
1
6.EE.5
7.EE.4.a
…
1
6.EE.5
7.EE.4.a
…
1
6.EE.5
7.EE.4.a
…
1
6.EE.5
7.EE.4.a
…
Question 1
1.

Tyler goes to the store. His budget is $125. Which inequality represents x, the amount in dollars Tyler can spend at the store?

Question 2
2.

1
Question 3
3.

What does each variable represent?

1
Question 4
4.

What does the expression xy in the last inequality mean in this situation?

Question 5
5.

Han wants to build a dog house. He makes a list of the materials needed:
  • At least 60 square feet of plywood for the surfaces
  • At least 36 feet of wood planks for the frame of the dog house
  • Between 1 and 2 quarts of paint
Han's budget is $65. Plywood costs $0.70 per square foot, planks of wood cost $0.10 per foot, and paint costs $8 per quart.

Write inequalities to represent the material constraints and cost contraints in this situation. Be sure to specify what your variables represent.

Question 6
6.

The equation V=\frac{1}{3} 𝜋r2h represents the volume of a cone, where r is the radius of the cone and h is the height of the cone.

Which equation is solved for the height of the cone?

1
Question 7
7.
1
Question 8
8.
Question 9
9.

There is a pair of x and y values that make each equation true in this system of equations:

Explain why the same pair of values also make 9x+10y=42 true.

Question 10
10.

Which ordered pair is a solution to this system of equations?

Question 11
11.

Which equation has exactly one solution in common with the equation y=6x-2?

Question 12
12.


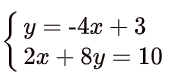
How many solutions does this system of equations have? Explain how you know.

This lesson is from Illustrative Mathematics. Algebra 1, Unit 2, Lesson 18. Internet. Available from https://curriculum.illustrativemathematics.org/HS/teachers/1/2/18/index.html ; accessed 26/July/2021.

IM Algebra 1, Geometry, Algebra 2 is © 2019 Illustrative Mathematics. Licensed under the Creative Commons Attribution 4.0 International License (CC BY 4.0).

The Illustrative Mathematics name and logo are not subject to the Creative Commons license and may not be used without the prior and express written consent of Illustrative Mathematics.

These materials include public domain images or openly licensed images that are copyrighted by their respective owners. Openly licensed images remain under the terms of their respective licenses. See the image attribution section for more information.
Jada is making lemonade for a get-together with her friends. She expects a total of 5 to 8 people to be there (including herself). She plans to prepare 2 cups of lemonade for each person.
The lemonade recipe calls for 4 scoops of lemonade powder for each quart of water. Each quart is equivalent to 4 cups.

Let represent the number of people at the get-together, the number of cups of water, the number of scoops of lemonade powder.

Select all the mathematical statements that represent the quantities and constraints in the situation.
l=c
10\leq l \leq 16
5<n<8
10<c<16
5\leq n \leq 8
c=2n