Log in
Sign up for FREE
arrow_back
Library

Illustrative Math - Algebra 1 - Unit 2- Lesson 24

star
star
star
star
star
Last updated about 1 year ago
19 questions
1
A.REI.12
A.REI.3
A.REI.6
1
A.REI.12
A.REI.3
A.REI.6
1
Question 1
1.
Question 2
2.

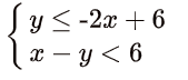
Select all the pairs of x and y that are solutions to the system of inequalities:

1
Question 3
3.
1
Question 4
4.
1
Question 5
5.
1
Question 6
6.
1
Question 7
7.
1
Question 8
8.
Question 9
9.

Which coordinate pair is a solution to the inequality 4x-2y<22?

1
Question 10
10.
1
Question 11
11.
1
Question 12
12.
1
Question 13
13.
We have released a new and improved Graphing question type! Students will no longer be able to answer this question.
1
Question 14
14.
1
Question 15
15.
1
Question 16
16.
1
Question 17
17.
1
Question 18
18.
1
Question 19
19.
This lesson is from Illustrative Mathematics. Algebra 1, Unit 2, Lesson 24. Internet. Available from https://curriculum.illustrativemathematics.org/HS/teachers/1/2/24/index.html ; accessed 26/July/2021.

IM Algebra 1, Geometry, Algebra 2 is © 2019 Illustrative Mathematics. Licensed under the Creative Commons Attribution 4.0 International License (CC BY 4.0).

The Illustrative Mathematics name and logo are not subject to the Creative Commons license and may not be used without the prior and express written consent of Illustrative Mathematics.

These materials include public domain images or openly licensed images that are copyrighted by their respective owners. Openly licensed images remain under the terms of their respective licenses. See the image attribution section for more information.
x=-5,y=-15
x=4,y=-2
x=3,y=0
x=10,y=0