Log in
Sign up for FREE
arrow_back
Library

Illustrative Math - Algebra 1 - Unit 2- Lesson 17

star
star
star
star
star
Last updated about 1 year ago
16 questions
1
8.EE.8.a
8.EE.8.b
…
1
8.EE.8.a
8.EE.8.b
…
1
8.EE.8.a
8.EE.8.b
…
1
8.EE.8.a
8.EE.8.b
…
1
8.EE.8.a
8.EE.8.b
…
1
Question 1
1.

Solve the system by graphing the equations (by hand or using technology).

We have released a new and improved Graphing question type! Students will no longer be able to answer this question.
1
Question 2
2.

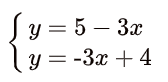
Explain how you could tell, without graphing, that there is only one solution to the system.

1
Question 3
3.

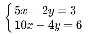
Without graphing, determine how many solutions you would expect this system of equations to have. Explain your reasoning.

1
Question 4
4.

Try solving the system of equations algebraically and describe the result that you get. Does it match your prediction?

Question 5
5.

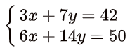
How many solutions does this system of equations have?

Question 6
6.

Select all systems of equations that have no solutions.

1
Question 7
7.

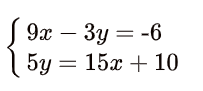
Solve the system without graphing.

1
Question 8
8.

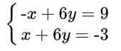
Solve the system without graphing.

Question 9
9.

Select all the dot plots that appear to contain outliers.

Question 10
10.

Here is a system of equations:
Would you rather use subtraction or addition to solve the system? Explain your reasoning.

Question 11
11.

Here is a system of linear equations:
Select all the steps that would help to eliminate a variable and enable solving.

1
Question 12
12.

What was done to the original system to get the system in Step 1?

1
Question 13
13.

Explain why the system in Step 1 shares a solution with the original system.

1
1
1
This lesson is from Illustrative Mathematics. Algebra 1, Unit 2, Lesson 17. Internet. Available from https://curriculum.illustrativemathematics.org/HS/teachers/1/2/17/index.html ; accessed 26/July/2021.

IM Algebra 1, Geometry, Algebra 2 is © 2019 Illustrative Mathematics. Licensed under the Creative Commons Attribution 4.0 International License (CC BY 4.0).

The Illustrative Mathematics name and logo are not subject to the Creative Commons license and may not be used without the prior and express written consent of Illustrative Mathematics.

These materials include public domain images or openly licensed images that are copyrighted by their respective owners. Openly licensed images remain under the terms of their respective licenses. See the image attribution section for more information.
Multiply the first equation by 2, then subtract the second equation from the result.
Multiply the first equation by 4 and the second equation by 6, then subtract the resulting equations.
Multiply the first equation by 2, then add the result to the second equation.
Divide the second equation by 2, then add the result to the first equation.
Multiply the second equation by 6, then subtract the result from the first equation.
Question 14
14.

What was done to the system in Step 1 to get the system in Step 2?

Question 15
15.

Explain why the system in Step 2 shares a solution with that in Step 1.

Question 16
16.

What is the solution to the original system?