Log in
Sign up for FREE
arrow_back
Library

Illustrative Math - Algebra 1 - Unit 2- Lesson 13

star
star
star
star
star
Last updated about 1 year ago
14 questions
1
8.EE.6
A.REI.10
A.REI.6
1
8.EE.6
A.REI.10
A.REI.6
1
8.EE.6
A.REI.10
A.REI.6
1
8.EE.6
A.REI.10
A.REI.6
1
8.EE.6
A.REI.10
A.REI.6
1
8.EE.6
A.REI.10
A.REI.6
1
8.EE.6
A.REI.10
A.REI.6
1
8.EE.6
A.REI.10
A.REI.6
1
8.EE.6
A.REI.10
A.REI.6
1
8.EE.6
A.REI.10
A.REI.6
1
8.EE.6
A.REI.10
A.REI.6
1
8.EE.6
A.REI.10
A.REI.6
1
8.EE.6
A.REI.10
A.REI.6
1
8.EE.6
A.REI.10
A.REI.6
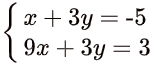
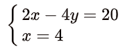
Question 1
1.

Identify a solution to this system of equations:

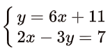
Question 2
2.

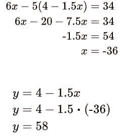
Lin is solving this system of equations:
She starts by rearranging the second equation to isolate the y variable: y=4-1.5x. She then substituted the expression 4-1.5x for y in the first equation, as shown:
Check to see if Lin's solution of (-36,58) makes both equations in the system true.

If your answer to the previous question is "no," find and explain her mistake. If your answer is "yes," graph the equations to verify the solution of the system.

Question 3
3.

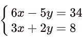
Solve each system of equations.

Question 4
4.

Solve each system of equations.

Question 5
5.

Tyler and Han are trying to solve this system by substitution:
Tyler's first step is to isolate x in the first equation to get x=-5-3y. Han's first step is to isolate 3y in the first equation to get 3y=-5-x.
Show that both first steps can be used to solve the system and will yield the same solution.

Question 6
6.

The dot plots show the distribution of the length, in centimeters, of 25 shark teeth for an extinct species of shark and the length, in centimeters, of 25 shark teeth for a closely related shark species that is still living.


Compare the two dot plots using the shape of the distribution, measures of center, and measures of variability.

Use the situation described in the problem in your explanation.

Question 7
7.

Kiran buys supplies for the school’s greenhouse. He buys f bags of fertilizer and packages of soil. He pays $5 for each bag of fertilizer and $2 for each package of soil, and spends a total of $90. The equation 5f+2p=90 describes this relationship.

If Kiran solves the equation for p, which equation would result?

Question 8
8.

Elena wanted to find the slope and y-intercept of the graph of 25x-20y=100. She decided to put the equation in slope-intercept form first. Here is her work:
She concluded that the slope is -\frac{5}{4} and the y-intercept is (0,5).
What was Elena’s mistake?

Question 9
9.

Find the x- and y-intercepts of the graph of each equation.

y=10-2x

Question 10
10.

Find the x- and y-intercepts of the graph of each equation.

4y+9x=18

Question 11
11.

Find the x- and y-intercepts of the graph of each equation.

6x-2y=44

Question 12
12.

Find the x- and y-intercepts of the graph of each equation.

2x=4+12y

Question 13
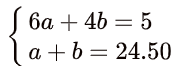
13.

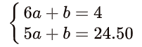
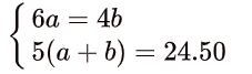
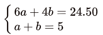
Andre is buying snacks for the track and field team. He buys a pounds of apricots for $6 per pound and b pounds of dried bananas for $4 per pound. He buys a total of 5 pounds of apricots and dried bananas and spends a total of $24.50.

Which system of equations represents the constraints in this situation?

Question 14
14.

Here are two equations:

Equation 1: y=3x+8
Equation 2: 2x-y=-6
Without using graphing technology:
  1. Find a point that is a solution to Equation 1 but not a solution to Equation 2.
  2. Find a point that is a solution to Equation 2 but not a solution to Equation 1.
  3. Graph the two equations.
  4. Find a point that is a solution to both equations.

This lesson is from Illustrative Mathematics. Algebra 1, Unit 2, Lesson 13. Internet. Available from https://curriculum.illustrativemathematics.org/HS/teachers/1/2/13/preparation.html ; accessed 26/July/2021.

IM Algebra 1, Geometry, Algebra 2 is © 2019 Illustrative Mathematics. Licensed under the Creative Commons Attribution 4.0 International License (CC BY 4.0).

The Illustrative Mathematics name and logo are not subject to the Creative Commons license and may not be used without the prior and express written consent of Illustrative Mathematics.

These materials include public domain images or openly licensed images that are copyrighted by their respective owners. Openly licensed images remain under the terms of their respective licenses. See the image attribution section for more information.
p=\frac{85f}{2}