Log in
Sign up for FREE
arrow_back
Library

Illustrative Math - Algebra 1 - Unit 2- Lesson 26

star
star
star
star
star
Last updated about 1 year ago
10 questions
1
A.CED.3
A.REI.12
MP.2
1
1
Question 1
1.
1
Question 2
2.
1
Question 3
3.
1
Question 4
4.
1
Question 5
5.
1
Question 6
6.
1
Question 7
7.
1
Question 8
8.
Question 9
9.

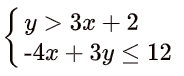
Choose the graph that shows the solution to this system:

Question 10
10.
Draggable itemarrow_right_altCorresponding Item
2+10y\leq20
arrow_right_alt
Graph A.
4x-10y\leq20
arrow_right_alt
Graph B.
5x+2y\geq20
arrow_right_alt
arrow_right_alt
arrow_right_alt
This lesson is from Illustrative Mathematics. Algebra 1, Unit 2, Lesson 26. Internet. Available from https://curriculum.illustrativemathematics.org/HS/teachers/1/2/26/index.html ; accessed 26/July/2021.

IM Algebra 1, Geometry, Algebra 2 is © 2019 Illustrative Mathematics. Licensed under the Creative Commons Attribution 4.0 International License (CC BY 4.0).

The Illustrative Mathematics name and logo a. Algebra 1, Unit 2, Lesson 2. Internet. Available from t be used without the prior and express written consent of Illustrative Mathematics.

These materials include public domain images or openly licensed images that are copyrighted by their respective owners. Openly licensed images remain under the terms of their respective licenses. See the image attribution section for more information.
Graph C.
2x-5y\geq20
Graph D.
4x-5y\geq20
Graph E.