Log in
Sign up for FREE
arrow_back
Library

Illustrative Math - Algebra 1 - Unit 2- Lesson 15

star
star
star
star
star
Last updated about 1 year ago
17 questions
1
A.REI.5
A.REI.6
1
A.REI.5
A.REI.6
1
A.REI.5
A.REI.6
1
A.REI.5
A.REI.6
1
A.REI.5
A.REI.6
1
A.REI.5
A.REI.6
1
A.REI.5
A.REI.6
1
A.REI.5
A.REI.6
1
A.REI.5
A.REI.6
1
A.REI.5
A.REI.6
1
A.REI.5
A.REI.6
1
A.REI.5
A.REI.6
1
A.REI.5
A.REI.6
1
A.REI.5
A.REI.6
1
A.REI.5
A.REI.6
1
A.REI.5
A.REI.6
1
A.REI.5
A.REI.6
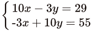
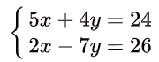
Question 1
1.

Solve this system of linear equations without graphing:

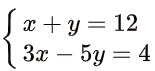
Question 2
2.

Select all the equations that share a solution with this system of equations.

Question 3
3.

Students performed in a play on a Friday and a Saturday. For both performances, adult tickets cost a dollars each and student tickets cost s dollars each.

On Friday, they sold 125 adult tickets and 65 student tickets, and collected $1,200. On Saturday, they sold 140 adult tickets and 50 student tickets, and collect $1,230.

This situation is represented by this system of equations:

What could the equation 265a+115s=2,430 mean in this situation?

Question 4
4.

Students performed in a play on a Friday and a Saturday. For both performances, adult tickets cost a dollars each and student tickets cost s dollars each.

On Friday, they sold 125 adult tickets and 65 student tickets, and collected $1,200. On Saturday, they sold 140 adult tickets and 50 student tickets, and collect $1,230.

This situation is represented by this system of equations:

The solution to the original system is the pair a=7 and s=5. Explain why it makes sense that this pair of values is also the solution to the equation 265a+115s=2,430.

Question 5
5.

Which statement explains why 13x-13y=-26 shares a solution with this system of equations:

Question 6
6.

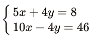
Question 7
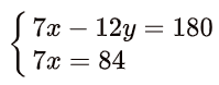
7.

Solve each system of equations.

Question 8
8.

Solve each system of equations.

Question 9
9.

Here is a system of equations:

Would you rather use subtraction or addition to solve the system? Explain your reasoning.

Question 10
10.

The box plot represents the distribution of the number of free throws that 20 students made out of 10 attempts.
After reviewing the data, the value recorded as 1 is determined to have been an error. The box plot represents the distribution of the same data set, but with the minimum, 1, removed.
The median is 6 free throws for both plots.

Explain why the median remains the same when 1 was removed from the data set.

Question 11
11.

The box plot represents the distribution of the number of free throws that 20 students made out of 10 attempts.
After reviewing the data, the value recorded as 1 is determined to have been an error. The box plot represents the distribution of the same data set, but with the minimum, 1, removed.
The median is 6 free throws for both plots.

When 1 is removed from the data set, does the mean remain the same? Explain your reasoning.

Question 12
12.

In places where there are crickets, the outdoor temperature can be predicted by the rate at which crickets chirp. One equation that models the relationship between chirps and outdoor temperature is f=\frac{1}{4}c+40, where c is the number of chirps per minute and f is the temperature in degrees Fahrenheit.

Suppose 110 chirps are heard in a minute. According to this model, what is the outdoor temperature?

Question 13
13.

In places where there are crickets, the outdoor temperature can be predicted by the rate at which crickets chirp. One equation that models the relationship between chirps and outdoor temperature is f=\frac{1}{4}c+40, where c is the number of chirps per minute and f is the temperature in degrees Fahrenheit.

If it is 75oF outside, about how many chirps can we expect to hear in one minute?

Question 14
14.

In places where there are crickets, the outdoor temperature can be predicted by the rate at which crickets chirp. One equation that models the relationship between chirps and outdoor temperature is f=\frac{1}{4}c+40, where c is the number of chirps per minute and f is the temperature in degrees Fahrenheit.

The equation is only a good model of the relationship when the outdoor temperature is at least 55oF.  (Below that temperature, crickets aren't around or inclined to chirp.) How many chirps can we expect to hear in a minute at that temperature?

Question 15
15.

In places where there are crickets, the outdoor temperature can be predicted by the rate at which crickets chirp. One equation that models the relationship between chirps and outdoor temperature is f=\frac{1}{4}c+40, where c is the number of chirps per minute and f is the temperature in degrees Fahrenheit.

On the coordinate plane, draw a graph that represents the relationship between the number of chirps and the temperature.

Question 16
16.

In places where there are crickets, the outdoor temperature can be predicted by the rate at which crickets chirp. One equation that models the relationship between chirps and outdoor temperature is f=\frac{1}{4}c+40, where c is the number of chirps per minute and f is the temperature in degrees Fahrenheit.

Explain what the coefficient \frac{1}{4} in the equation tells us about the relationship.

Question 17
17.

In places where there are crickets, the outdoor temperature can be predicted by the rate at which crickets chirp. One equation that models the relationship between chirps and outdoor temperature is f=\frac{1}{4}c+40, where c is the number of chirps per minute and f is the temperature in degrees Fahrenheit.


Explain what the 40 in the equation tells us about the relationship.

This lesson is from Illustrative Mathematics. Algebra 1, Unit 2, Lesson 15. Internet. Available from https://curriculum.illustrativemathematics.org/HS/teachers/1/2/15/index.html ; accessed 26/July/2021.

IM Algebra 1, Geometry, Algebra 2 is © 2019 Illustrative Mathematics. Licensed under the Creative Commons Attribution 4.0 International License (CC BY 4.0).

The Illustrative Mathematics name and logo are not subject to the Creative Commons license and may not be used without the prior and express written consent of Illustrative Mathematics.

These materials include public domain images or openly licensed images that are copyrighted by their respective owners. Openly licensed images remain under the terms of their respective licenses. See the image attribution section for more information.
3x-11y=-2
3x+11y=-2
5x+4y=2x-7y
7x-3y=50
Because -3x+10y is equal to 55, I can subtract -3x+10y from the left side of 10x-3y=29 and subtract 55 from its right side. Subtracting equivalent expressions from each side of an equation does not change the solution to the equation.
Select all equations that can result from adding these two equations or subtracting one from the other.
5x-4y=28
4x+4y=16
-2x-4y=8
-2x+6y=8
4x-4y=16
2x-6y=-8