Log in
Sign up for FREE
arrow_back
Library

Illustrative Math - Algebra 1 - Unit 2- Lesson 19

star
star
star
star
star
Last updated about 1 year ago
11 questions
1
7.EE.4.b
A.CED.1
A.REI.3
1
7.EE.4.b
A.CED.1
A.REI.3
1
7.EE.4.b
A.CED.1
A.REI.3
1
7.EE.4.b
A.CED.1
A.REI.3
1
7.EE.4.b
A.CED.1
A.REI.3
1
7.EE.4.b
A.CED.1
A.REI.3
1
7.EE.4.b
A.CED.1
A.REI.3
1
7.EE.4.b
A.CED.1
A.REI.3
1
7.EE.4.b
A.CED.1
A.REI.3
Question 1
1.

Question 2
2.

Find the solution set to this inequality: 2x-3>\frac{2x-5}{2}

Question 3
3.

Here is an inequality: \frac{-10+x}{4}+5\leq \frac{7x-5}{3}
What value of x will produce equality (or make the two sides equal)?

Question 4
4.

Noah is solving the inequality 7x+5>2x+35. First, he solves the equation 7x+5=2x+35 and gets x=6.

How does the solution to the equation 7x+5=2x+35 help Noah solve the inequality 7x+5>2x+35?Explain your reasoning.

Question 5
5.

Which graph represents the solution to 5+8x<3(2x+4)?

Question 6
6.

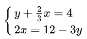
Solve this system of linear equations without graphing:

1
Question 7
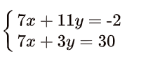
7.
1
Question 8
8.
Question 9
9.

How many solutions does this system of equations have? Explain how you know.

Question 10
10.

Question 11
11.

Students at the college are allowed to work on campus no more than 20 hours per week. The jobs that are available pay different rates, starting from $8.75 an hour. Students can earn a maximum of $320 per week.

Write at least two inequalities that could represent the constraints in this situation. Be sure to specify what your variables represent.

This lesson is from Illustrative Mathematics. Algebra 1, Unit 2, Lesson 19. Internet. Available from https://curriculum.illustrativemathematics.org/HS/teachers/1/2/19/index.html ; accessed 26/July/2021.

IM Algebra 1, Geometry, Algebra 2 is © 2019 Illustrative Mathematics. Licensed under the Creative Commons Attribution 4.0 International License (CC BY 4.0).

The Illustrative Mathematics name and logo are not subject to the Creative Commons license and may not be used without the prior and express written consent of Illustrative Mathematics.

These materials include public domain images or openly licensed images that are copyrighted by their respective owners. Openly licensed images remain under the terms of their respective licenses. See the image attribution section for more information.
Here is an inequality: \frac{7x+6}{2}\leq3x+2

Select all of the values that are a solution to the inequality.
x=-3
x=-2
x=-1
x=0
x=1
x=2
x=3
The principal of a school is hosting a small luncheon for her staff. She plans to prepare two sandwiches for each person. Some staff members offer to bring salads and beverages.

The principal has a budget of $225 and expects at least 16 people to attend. Sandwiches cost $3 each.

Select all of the equations and inequalities that could represent the constraints in the situation, where n is number of people attending and s is number of sandwiches.
n\geq16
n\geq32
s<2n
s=2n
3n\leq225
3s\leq225