Log in
Sign up for FREE
arrow_back
Library

Illustrative Math - Algebra 1 - Unit 2- Lesson 12

star
star
star
star
star
Last updated about 1 year ago
12 questions
1
8.EE.8.a
8.EE.8.b
…
1
8.EE.8.a
8.EE.8.b
…
1
8.EE.8.a
8.EE.8.b
…
1
8.EE.8.a
8.EE.8.b
…
1
8.EE.8.a
8.EE.8.b
…
1
8.EE.8.a
8.EE.8.b
…
1
8.EE.8.a
8.EE.8.b
…
1
8.EE.8.a
8.EE.8.b
…
1
8.EE.8.a
8.EE.8.b
…
1
8.EE.8.a
8.EE.8.b
…
1
8.EE.8.a
8.EE.8.b
…
1
8.EE.8.a
8.EE.8.b
…
Question 1
1.

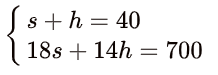
The knitting club sold 40 scarves and hats at a winter festival and made $700 from the sales. They charged $18 for each scarf and $14 for each hat.

If s represents the number of scarves sold and h represents the number of hats sold, which system of equations represents the constraints in this situation?

Question 2
2.

Here are two equations:

Equation 1: 6x+4y=34

Equation 2: 5x-2y=15

Decide whether each (x,y) pair is a solution to one equation, both equations, or neither of the equations.

Question 3
3.

Here are two equations:

Equation 1: 6x+4y=34

Equation 2: 5x-2y=15

Is it possible to have more than one (x,y) pair that is a solution to both equations? Explain or show your reasoning.

Question 4
4.

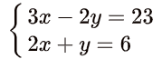
Explain or show that the point (5,-4) is a solution to this system of equations:

Question 5
5.

Diego is thinking of two positive numbers. He says, “If we triple the first number and double the second number, the sum is 34.”

Write an equation that represents this clue. Then, find two possible pairs of numbers Diego could be thinking of.

Question 6
6.

Diego is thinking of two positive numbers. He says, “If we triple the first number and double the second number, the sum is 34.”

Diego then says, “If we take half of the first number and double the second, the sum is 14.”

Write an equation that could represent this description.

Question 7
7.

Diego is thinking of two positive numbers. He says, “If we triple the first number and double the second number, the sum is 34.”

What are Diego’s two numbers? From questions 5 and 6.

Question 8
8.

The table shows the volume of water in a tank after it has been filled to a certain height.
Which equation could represent the volume of water in cubic inches, V, when the height is h inches?

Question 9
9.

Andre does not understand why a solution to the equation 3-x=4 must also be a solution to the equation 12=9-3x.

Write a convincing explanation as to why this is true.

Question 10
10.

Volunteer drivers are needed to bring 80 students to the championship baseball game. Drivers either have cars, which can seat 4 students, or vans, which can seat 6 students. The equation 4c+6v=80 describes the relationship between the number of cars c and number of vans v that can transport exactly 80 students.

Explain how you know that this graph represents this equation.

Question 11
11.

Three siblings are participating in a family-friendly running event.

  • The oldest sibling begins at the start line of the race and runs 7 miles per hour the entire time.
  • The middle sibling begins at the start line and walks at 3.5 miles per hour throughout the race.
  • The youngest sibling joins the race 4 miles from the start line and runs 5 miles per hour the rest of the way.
Match each graph to the sibling whose running is represented by the graph.

Draggable itemarrow_right_altCorresponding Item
Middle Sibling
arrow_right_alt
Graph A.
Youngest Sibling
arrow_right_alt
Graph B.
arrow_right_alt
Question 12
12.

What is the x-intercept of the graph of y=3-5x?

This lesson is from Illustrative Mathematics. Algebra 1, Unit 2, Lesson 12. Internet. Available from https://curriculum.illustrativemathematics.org/HS/teachers/1/2/12/index.html ; accessed 26/July/2021.

IM Algebra 1, Geometry, Algebra 2 is © 2019 Illustrative Mathematics. Licensed under the Creative Commons Attribution 4.0 International License (CC BY 4.0).

The Illustrative Mathematics name and logo are not subject to the Creative Commons license and may not be used without the prior and express written consent of Illustrative Mathematics.

These materials include public domain images or openly licensed images that are copyrighted by their respective owners. Openly licensed images remain under the terms of their respective licenses. See the image attribution section for more information.
(5,5)
(3,2)
V=1.05h^{3}
Oldest Sibling
Graph C.