Log in
Sign up for FREE
arrow_back
Library

Illustrative Math - Algebra 1 - Unit 7 - Lesson 10

star
star
star
star
star
Last updated about 1 year ago
14 questions
1
A.REI.4.a
A.REI.4.b
…
1
A.REI.4.a
A.REI.4.b
…
1
A.REI.4.a
A.REI.4.b
…
1
A.REI.4.a
A.REI.4.b
…
1
Question 1
1.
1
Question 2
2.
Question 3
3.

To rewrite 4x^{2}-12x-7 in factored form, Jada listed some pairs of factors of 4x^{2}:

Use what Jada started to rewrite 4x^{2}-12x-7 in factored form.

1
Question 4
4.
1
Question 5
5.
1
Question 6
6.
Question 7
7.

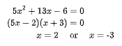
Han is solving the equation 5x^{2}+13x-6=0.

Here is his work:
Describe Han’s mistake. Then, find the correct solutions to the equation.

1
Question 8
8.
1
Question 9
9.
1
Question 10
10.
1
Question 11
11.
1
Question 12
12.
Question 13
13.

Which equation shows a next step in solving 9(x-1)^{2}=36 that will lead to the correct solutions?

Question 14
14.

Here is a description of the temperature at a certain location yesterday.

“It started out cool in the morning, but then the temperature increased until noon. It stayed the same for a while, until it suddenly dropped quickly! It got colder than it was in the morning, and after that, it was cold for the rest of the day.” Sketch a graph of the temperature as a function of time.

This lesson is from Illustrative Mathematics. Algebra 1, Unit 7, Lesson 10. Internet. Available from https://curriculum.illustrativemathematics.org/HS/teachers/1/7/10/index.html ; accessed 26/July/2021.

IM Algebra 1, Geometry, Algebra 2 is © 2019 Illustrative Mathematics. Licensed under the Creative Commons Attribution 4.0 International License (CC BY 4.0).

The Illustrative Mathematics name and logo are not subject to the Creative Commons license and may not be used without the prior and express written consent of Illustrative Mathematics.

These materials include public domain images or openly licensed images that are copyrighted by their respective owners. Openly licensed images remain under the terms of their respective licenses. See the image attribution section for more information.