Log in
Sign up for FREE
arrow_back
Library

Illustrative Math - Algebra 1 - Unit 7 - Lesson 9

star
star
star
star
star
Last updated about 1 year ago
22 questions
1
A.REI.4.a
A.REI.4.b
A.SSE.3.a
1
A.REI.4.a
A.REI.4.b
A.SSE.3.a
1
A.REI.4.a
A.REI.4.b
A.SSE.3.a
1
A.REI.4.a
A.REI.4.b
A.SSE.3.a
1
A.REI.4.a
A.REI.4.b
A.SSE.3.a
1
Question 1
1.
1
Question 2
2.
1
Question 3
3.
1
Question 4
4.
1
Question 5
5.
1
Question 6
6.
1
Question 7
7.
1
Question 8
8.
1
Question 9
9.
Question 10
10.

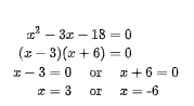
Here is how Elena solves the quadratic equation x^{2}-3x-18=0.

Is her work correct? If you think there is an error, explain the error and correct it.
Otherwise, check her solutions by substituting them into the original equation and showing that the equation remains true.

Question 11
11.

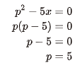
Jada is working on solving a quadratic equation, as shown here.

She thinks that her solution is correct because substituting 5 for p in the original expression p{2}-5p gives 5^{2}-5(5), which is 25-25 or 0.

Explain the mistake that Jada made and show the correct solutions.

Question 12
12.

Choose a statement to correctly describe the zero product property.

If a and b are numbers, and a*b=0, then:

Question 13
13.

Which expression is equivalent to x^{2}-7x+12?

1
Question 14
14.
1
Question 15
15.
1
Question 16
16.
1
Question 17
17.
Question 18
18.

1
Question 19
19.
1
Question 20
20.
1
Question 21
21.
1
Question 22
22.
This lesson is from Illustrative Mathematics. Algebra 1, Unit 7, Lesson 9. Internet. Available from https://curriculum.illustrativemathematics.org/HS/teachers/1/7/9/index.html ; accessed 26/July/2021.

IM Algebra 1, Geometry, Algebra 2 is © 2019 Illustrative Mathematics. Licensed under the Creative Commons Attribution 4.0 International License (CC BY 4.0).

The Illustrative Mathematics name and logo are not subject to the Creative Commons license and may not be used without the prior and express written consent of Illustrative Mathematics.

These materials include public domain images or openly licensed images that are copyrighted by their respective owners. Openly licensed images remain under the terms of their respective licenses. See the image attribution section for more information.
Neither a nor b can equal 0.
Select all the functions whose output values will eventually overtake the output values of function f defined by f(x)=25x^{2}.
h(x)=5^{x}
m(x)=5+2^{x}
g(x)=5(2)^{2}
j(x)=x^{2}+5
n(x)=2x^{2}+5
k(x)=(\frac{5}{2})^{x}