Log in
Sign up for FREE
arrow_back
Library

Illustrative Math - Algebra 1 - Unit 7 - Lesson 12

star
star
star
star
star
Last updated about 1 year ago
17 questions
1
A.REI.4.a
A.REI.4.b
A.SSE.2
1
A.REI.4.a
A.REI.4.b
A.SSE.2
1
A.REI.4.a
A.REI.4.b
A.SSE.2
1
A.REI.4.a
A.REI.4.b
A.SSE.2
1
Question 1
1.
1
Question 2
2.
1
Question 3
3.
1
Question 4
4.
1
Question 5
5.
Question 6
6.

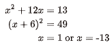
Mai is solving the equation x^{2}+12x=13. She writes:
Jada looks at Mai’s work and is confused. She doesn’t see how Mai got her answer.

Complete Mai’s missing steps to help Jada see how Mai solved the equation.

Question 7
7.

Match each equation to an equivalent equation with a perfect square on one side.

Draggable itemarrow_right_altCorresponding Item
arrow_right_alt
arrow_right_alt
arrow_right_alt
arrow_right_alt
arrow_right_alt
arrow_right_alt
1
Question 8
8.
1
Question 9
9.
1
Question 10
10.
1
Question 11
11.
1
Question 12
12.
1
Question 13
13.
1
Question 14
14.
1
Question 15
15.
Question 16
16.

Question 17
17.

A group of students are guessing the number of paper clips in a small box.

The guesses and the guessing errors are plotted on a coordinate plane.
What is the actual number of paper clips in the box?​​​​​​

This lesson is from Illustrative Mathematics. Algebra 1, Unit 7, Lesson 12. Internet. Available from https://curriculum.illustrativemathematics.org/HS/teachers/1/7/12/index.html ; accessed 26/July/2021.

IM Algebra 1, Geometry, Algebra 2 is © 2019 Illustrative Mathematics. Licensed under the Creative Commons Attribution 4.0 International License (CC BY 4.0).

The Illustrative Mathematics name and logo are not subject to the Creative Commons license and may not be used without the prior and express written consent of Illustrative Mathematics.

These materials include public domain images or openly licensed images that are copyrighted by their respective owners. Openly licensed images remain under the terms of their respective licenses. See the image attribution section for more information.
x^{2}+4x-5=0
((x+4)^{2}=18
x^{2}+10x=-13
(x+5)^{2}=12
x^{2}+8x=2
(x-7)^{2}=54
x^{2}+2x=0
(x+1)^{2}=1
x^{2}-14x=5
(x+2)^{2}=9
x^{2}-20x=-9
(x-10){2}=91
A basketball is dropped from the roof of a building and its height in feet is modeled by the function h.

Here is a graph representing h.

Select all the true statements about this situation.
When t=0 the height is 0 feet
The basketball falls at a constant speed
The expression that defines h is linear
The expression that defines h is quadratic.
When t = 0 the ball is about 50 feet above the ground.
The basketball lands on the ground about 1.75 seconds after it is dropped.