Log in
Sign up for FREE
arrow_back
Library

Illustrative Math - Algebra 1 - Unit 7 - Lesson 19

star
star
star
star
star
Last updated about 1 year ago
17 questions
1
A.REI.4.a
A.SSE.2
1
A.REI.4.a
A.SSE.2
1
Question 1
1.
1
Question 2
2.
1
Question 3
3.
1
Question 4
4.
1
Question 5
5.
1
Question 6
6.
Question 7
7.

Clare is deriving the quadratic formula by solving (2ax+b)^{2}=b^{2}-4ac by completing the square.

She arrived at this equation. ax^{2}+bx+x=0

Briefly describe what she needs to do to finish solving for x and then show the steps.

Question 8
8.

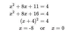
Tyler is solving the quadratic equation x^{2}+8x+11=4.
Study his work and explain the mistake he made. Then, solve the equation correctly.

1
Question 9
9.
1
Question 10
10.
1
Question 11
11.
1
Question 12
12.
1
Question 13
13.
1
Question 14
14.
1
Question 15
15.
1
Question 16
16.
1
Question 17
17.
This lesson is from Illustrative Mathematics. Algebra 1, Unit 7, Lesson 19. Internet. Available from https://curriculum.illustrativemathematics.org/HS/teachers/1/7/19/index.html ; accessed 26/July/2021.

IM Algebra 1, Geometry, Algebra 2 is © 2019 Illustrative Mathematics. Licensed under the Creative Commons Attribution 4.0 International License (CC BY 4.0).

The Illustrative Mathematics name and logo are not subject to the Creative Commons license and may not be used without the prior and express written consent of Illustrative Mathematics.

These materials include public domain images or openly licensed images that are copyrighted by their respective owners. Openly licensed images remain under the terms of their respective licenses. See the image attribution section for more information.