Log in
Sign up for FREE
arrow_back
Library

Illustrative Math - Algebra 1 - Unit 4 - Lesson 13

star
star
star
star
star
Last updated about 1 year ago
14 questions
1
F.IF.7.b
1
F.IF.7.b
1
F.IF.7.b
1
F.IF.7.b
1
F.IF.7.b
1
Question 1
1.
1
Question 2
2.
1
Question 3
3.
Question 4
4.

Bags of walnuts from a food producer are advertised to weigh 500 grams each. In a certain batch of 20 bags, most bags have an absolute error that is less than 4 grams.

Could this scatter plot represent those 20 bags and their absolute errors? Explain your reasoning.

Question 5
5.

The class guessed how many objects were placed in a mason jar. The graph displays the class results, with an actual number of 47.

Suppose a mistake was made, and the actual number is 45.
Suppose a mistake was made, and the actual number is 45.

Question 6
6.

Function D gives the height of a drone t seconds after it lifts off.
Sketch a possible graph for this function given that:
D(3)=4

D(10)=0

D(5)>D(3)

1
Question 7
7.
1
Question 8
8.
Question 9
9.

Here is the graph of a function.

Which time interval shows the largest rate of change?

1
Question 10
10.
1
Question 11
11.
1
Question 12
12.
1
Question 13
13.
Question 14
14.

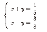
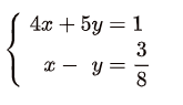
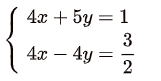
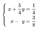
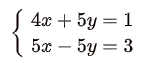
Select all systems that are equivalent to this system of equations:

This lesson is from Illustrative Mathematics. Algebra 1, Unit 4, Lesson 13. Internet. Available from https://curriculum.illustrativemathematics.org/HS/teachers/1/4/13/index.html ; accessed 26/July/2021.

IM Algebra 1, Geometry, Algebra 2 is © 2019 Illustrative Mathematics. Licensed under the Creative Commons Attribution 4.0 International License (CC BY 4.0).

The Illustrative Mathematics name and logo are not subject to the Creative Commons license and may not be used without the prior and express written consent of Illustrative Mathematics.

These materials include public domain images or openly licensed images that are copyrighted by their respective owners. Openly licensed images remain under the terms of their respective licenses. See the image attribution section for more information.
From 6 to 8 seconds