Log in
Sign up for FREE
arrow_back
Library

Illustrative Math - Algebra 2 - Unit 2 - Lesson 19

star
star
star
star
star
Last updated about 1 year ago
11 questions
1
A.APR.6
A.SSE.1.a
F.IF.7.a
1
A.APR.6
A.SSE.1.a
F.IF.7.a
1
A.APR.6
A.SSE.1.a
F.IF.7.a
1
A.APR.6
A.SSE.1.a
F.IF.7.a
1
A.APR.6
A.SSE.1.a
F.IF.7.a
1
A.APR.6
A.SSE.1.a
F.IF.7.a
Question 1
1.

The function f(x)=\frac{5x+2}{x-3}can be rewritten in the form f(x)=5+\frac{17}{x-3}. What is the end behavior of y=f(x)?

Question 2
2.

Rewrite the rational function g(x)={x^{2}+7x-12}{x+2} in the form g(x)=p(x)+\frac{r}{x+2}, where p(x) is a polynomial and r is an integer.

Question 3
3.

Match each polynomial with its end behavior as x gets larger and larger in the positive and negative directions. (Note: Some of the answer choices are not used and some answer choices are used more than once.)

Draggable itemarrow_right_altCorresponding Item
p(x)=\frac{3}{x-1}
arrow_right_alt
The graph approaches y=2
arrow_right_alt
arrow_right_alt
arrow_right_alt
arrow_right_alt
Question 4
4.

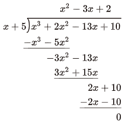
Let the function P be defined by P(x)=x^{3}+2x^{2}-13x+10. Mai divides P(x) by x+5 and gets:
How could we tell by looking at the remainder that (x+5) is a factor?

Question 5
5.

For the polynomial function f(x)=x^{4}+3x^{3}-x^{2}-3x we have f(-3)=-40,f(-2)=-6,f(-1)=1,f(0)=0,f(1)=30,f(2)=30,f(3)=144 .

Rewrite f(x) as a product of linear factors.

1
Question 6
6.
1
Question 7
7.
1
Question 8
8.
1
Question 9
9.
1
Question 10
10.
Question 11
11.

Match each rational function with a description of its end behavior as gets larger and larger.

Draggable itemarrow_right_altCorresponding Item
arrow_right_alt
arrow_right_alt
arrow_right_alt
arrow_right_alt
arrow_right_alt
arrow_right_alt
This lesson is from Illustrative Mathematics. Algebra 2, Unit 2, Lesson 19. Internet. Available from https://curriculum.illustrativemathematics.org/HS/teachers/3/2/19/index.html ; accessed 27/July/2021.

IM Algebra 1, Geometry, Algebra 2 is © 2019 Illustrative Mathematics. Licensed under the Creative Commons Attribution 4.0 International License (CC BY 4.0).

The Illustrative Mathematics name and logo are not subject to the Creative Commons license and may not be used without the prior and express written consent of Illustrative Mathematics.

These materials include public domain images or openly licensed images that are copyrighted by their respective owners. Openly licensed images remain under the terms of their respective licenses. See the image attribution section for more information.
r(x)=\frac{2x+3}{x-1}
The graph approaches y=3
s(x)=\frac{2x^{2}+x+3}{x-1}
The graph approaches y=2x+3
q(x)=\frac{2x}{x-1}
The graph approaches y=x^{2}+x+1
t(x)=\frac{x^{3}}{x-1}
The graph approaches y=0
\frac{99+x}{x}
The value of the expression gets closer and closer to 0.
9x
The value of the expression gets closer and closer to 1.
\frac{9}{x}
The value of the expression gets closer and closer to 9.
\frac{99x+9}{x}
The value of the expression gets closer and closer to 99.
\frac{99x}{x}
The value of the expression gets larger and larger in the positive direction.
\frac{99+9x}{x}
The value of the expression gets larger and larger in the negative direction.