Log in
Sign up for FREE
arrow_back
Library

Illustrative Math - Algebra 2 - Unit 2 - Lesson 22

star
star
star
star
star
Last updated about 1 year ago
12 questions
1
A.REI.2
1
A.REI.2
1
A.REI.2
1
A.REI.2
1
Question 1
1.
1
Question 2
2.
1
Question 3
3.
1
Question 4
4.
Question 5
5.

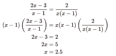
Kiran is solving \frac{2x-3}{x-1}=\frac{2}{x(x-1)} for x, and he uses these steps:

He checks his answer and finds that it isn't a solution to the original equation, so he writes “no solutions.” Unfortunately, Kiran made a mistake while solving. Find his error and calculate the actual solution(s).

1
Question 6
6.
1
Question 7
7.
1
Question 8
8.
1
Question 9
9.
Question 10
10.

Is this the graph of g(x)=-x^{4}(x+3) or f(x)=x^{4}(x+3)? Explain how you know.

Question 11
11.

Rewrite the rational function g(x)=\frac{x-9}{x} in the form g(x)=c+\frac{r}{x}, where c and r are constants.

Question 12
12.

Elena has a boat that would go 9 miles per hour in still water. She travels downstream for a certain distance and then back upstream to where she started. Elena notices that it takes her 4 hours to travel upstream and 2 hours to travel downstream.

The river’s speed is r miles per hour. Write an expression that will help her solve for r.

This lesson is from Illustrative Mathematics. Algebra 2, Unit 2, Lesson 22. Internet. Available from https://curriculum.illustrativemathematics.org/HS/teachers/3/2/22/index.html ; accessed 27/July/2021.

IM Algebra 1, Geometry, Algebra 2 is © 2019 Illustrative Mathematics. Licensed under the Creative Commons Attribution 4.0 International License (CC BY 4.0).

The Illustrative Mathematics name and logo are not subject to the Creative Commons license and may not be used without the prior and express written consent of Illustrative Mathematics.

These materials include public domain images or openly licensed images that are copyrighted by their respective owners. Openly licensed images remain under the terms of their respective licenses. See the image attribution section for more information.