Log in
Sign up for FREE
arrow_back
Library

Illustrative Math - Algebra 2 - Unit 2 - Lesson 13

star
star
star
star
star
Last updated about 1 year ago
8 questions
1
A.APR.2
1
A.APR.2
1
A.APR.2
1
A.APR.2
1
A.APR.2
1
A.APR.2
Question 1
1.

The polynomial function B(x)=x^{3}-21x+20 has a known factor of (x-4). Rewrite B(x) as a product of linear factors.

Question 2
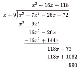
2.

Let the function P be defined by P(x)=x^{3}+7x^{2}-26x-72 where (x+9) is a factor. To rewrite the function as the product of two factors, long division was used but an error was made:
How can we tell by looking at the remainder that an error was made somewhere?

Question 3
3.

Question 4
4.

Match the polynomial function with its constant term.

Draggable itemarrow_right_altCorresponding Item
P(x)=(x-2)(x-3)(x+7)
arrow_right_alt
-210
P(x)=(x+2)(x-3)(x+7)
arrow_right_alt
arrow_right_alt
arrow_right_alt
arrow_right_alt
Question 5
5.

What are the solutions to the equation (x-2)(x-4)=8?

Question 6
6.

The graph of a polynomial function f is shown. Which statement is true about the end behavior of the polynomial function?

1
Question 7
7.
1
Question 8
8.
This lesson is from Illustrative Mathematics. Algebra 2, Unit 2, Lesson 13. Internet. Available from https://curriculum.illustrativemathematics.org/HS/teachers/3/2/13/index.html ; accessed 27/July/2021.

IM Algebra 1, Geometry, Algebra 2 is © 2019 Illustrative Mathematics. Licensed under the Creative Commons Attribution 4.0 International License (CC BY 4.0).

The Illustrative Mathematics name and logo are not subject to the Creative Commons license and may not be used without the prior and express written consent of Illustrative Mathematics.

These materials include public domain images or openly licensed images that are copyrighted by their respective owners. Openly licensed images remain under the terms of their respective licenses. See the image attribution section for more information.
For the polynomial function A(x)=x^{4}-2x^{3}-21^{2}+22x+40 we know (x-5) is a factor. Select all the other linear factors of A(x).
(x+1)
(x-1)
(x+2)
(x-2)
(x+4)
(x-4)
(x+8)
-42
P(x)=5(x-2)(x-3)(x+7)
21
P(x)=-5(x-2)(x-3)(x+7)
42
P(x)=\frac{1}{2}(x-2)(x-3)(x+7)
210
As x gets larger and larger in the positive direction, f(x) gets larger and larger in the negative direction. As x gets larger and larger in the negative direction, f(x) gets larger and larger in the positive direction.
As x gets larger and larger in the either the positive or the negative direction, f(x) gets larger and larger in the positive direction.